THE FAINTEST
KUIPER BELT OBJECTS
INT+WFC
Starting in 1992, astronomers
have become aware of a vast population of small bodies orbiting the Sun
beyond Neptune. There are at least 70,000 "Trans-Neptunians" with diameters
larger than 100 km in the radial zone extending outwards from the orbit
of Neptune (at 30 AU) to 50 AU. There may be many more similar bodies beyond
50 AU, but these are presently beyond the limits of detection. This population
is generally referred to as the Kuiper Belt.
The Kuiper Belt holds significance
for the study of the planetary system on at least two levels. First, it
is likely that the Kuiper Belt objects are extremely primitive remnants
from the early accretion phases of the Solar System. The inner, dense parts
of the pre-planetary disk condensed into the major planets, probably within
a few millions to tens of millions of years. The outer parts were less
dense, and accretion progressed slowly. Evidently, a great many small objects
were formed. Second, it is widely believed that the Kuiper Belt is the
source of the short-period comets. It acts as a reservoir for these bodies
in the same way that the Oort Cloud acts as a reservoir for the long-period
comets.
Recently, two new Kuiper Belt
objects have been discovered, named 1997 UG25 and 1997 UF25, and they are
some of the faintest objects ever seen orbiting our Sun. One is estimated
to be 150 km across and the other 110 km. Both are about 45 times farther
from the Sun than Earth (4,200 million miles or 6,750 million kilometres),
and more remote than the planet Pluto.
Based on present ideas about how
Kuiper Belt objects formed, astronomers expected to be finding these faint
objects at even greater distances. Since they did not, those ideas may
need to be revised. It may be that the average size of the Kuiper Belt
objects is smaller the farther away they are, so the most distant ones
were too faint even for this survey. Or it might be that the objects actually
discovered mark the outer edge of the Kuiper Belt.
The discovery team used the prime
focus Wide-Field Camera at the Isaac Newton Telescope to image the sky
for 7 nights, searching a total area slightly smaller than that covered
by the full Moon. During each night they stared continuously at different
patches of sky for up to four hours at a time. In each patch of sky several
thousand distant stars and galaxies could be seen. However even these images
were not sensitive enough to record the Solar System objects the team were
seeking. So they combined the images by computer in a way that eliminated
all stars, galaxies and nearby asteroids and revealed only faint solar-system
objects at large distances from the Sun.
References:
-
E Fletcher, M Irwin, and A Fitzsimmons,
1998, "1997 UF25", MPEC 1998-G08.
-
E Fletcher, M Irwin, and A Fitzsimmons,
1998, "1997 UG25", MPEC 1998-G09.
[ JPEG | TIFF ] |
[ JPEG | TIFF ] |
| Left: Discovery
image of 1997 UG25. The trans-neptunian object is the stellar-like object
in the centre of the image. 1997 UF25 was discovered in images obtained
on the 25th/26th October 1997. At a red magnitude of 25.0, it is so faint
that it was only discovered by co-adding roughly 20 images of the same
field. From observations over two nights, a distance of 44.9 AU was calculated.
Right: Discovery image of 1997 UF25. Again, the trans-neptunian object
is the stellar-like object in the centre of the image. At a red magnitude
of 24.5, it was found in a similar manner to 1997 UF25. It may never be
seen again, but was at a distance of around 43.3 AU at discovery. |
|
STARS
AND EXTRASOLAR PLANETS
|
DISCOVERY OF
A LOW-MASS BROWN DWARF COMPANION OF A YOUNG NEARBY STAR
WHT+ISIS, INT+IDS
Direct imaging searches for brown
dwarfs and giant planets around stars explore a range of physical separations
complementary to that of radial velocity measurements and provide key information
on how substellar-mass companions are formed. Any companion uncovered by
an imaging technique can be further investigated by spectroscopy, which
allows information about its atmospheric conditions and evolutionary status
to be obtained. Young, nearby, cool dwarf stars are ideal targets of searches
for substellar-mass companions (brown dwarfs and giant planets) using direct
imaging techniques, because (i) young substellar objects are considerably
more luminous when undergoing the initial phases of gravitational contraction
than at later stages; (ii) stars in the solar neighborhood (that is, within
50 pc of the Sun) allow the detection of faint companions at physical separations
of several tens of astronomical units; and (iii) cool stars are among the
least luminous stars, which favors full optimization of the dynamic range
of current detectors to achieve detection of extremely faint companions
by means of narrow-band imaging techniques at red wavelengths.
Using X-ray emission as an indicator
of youth, a number of late-type stars (K and M spectral classes) was selected
in the solar neighbourhood, of which deep images were obtained. After several
targets of the programme were observed, a very red companion to the high-proper-motion
M-class dwarf star G 196-3 was discovered 16.2 arcsec away from the star.
This red companion was called G 196-B. Further photometry and spectroscopy
allowed the astronomers to constrain spectral classification and proper
motions of both stars, coming to the conclusion that G 196-3 is a M2.5
star and G 196-3B is a L brown dwarf. From the comparison with other known
brown dwarfs they derived a temperature of 1800±200 K.
The observed optical and infrared
colors present no strange anomaly that might be attributed to an unresolved
less massive companion to G 196-3, and no indication of changes in the
radial velocity is found beyond the uncertainties of the measurements determined
with high-resolution spectra taken at the Isaac Newton Telescope over a
time interval of several hours to days. This makes it very unlikely that
the star is actually a close-contact binary. The spectral type combined
with the observed fluxes indicate that the star is at a minimum distance
of 15.4 pc.
An upper limit to the age of G
196-3 can be imposed from comparison to the Hyades cluster (600 My), where
the average chromospheric and coronal emission of M2-M3 stars is considerably
lower than in G 196-3. This star appears to be substantially younger than
the Hyades, and hence 300 My is adopted, an age intermediate between that
of the Pleiades and Hyades, as a reasonable upper age limit. The lower
age limit can be derived from observations of Li I at 670.8 nm. Lithium
is a fragile element that burns efficiently in the interiors of fully convective
stars over short time scales (a few tens of millions of years). Convection
drains material from the stellar atmosphere into the innermost layers,
where the temperature is high enough for Li burning to take place. There
are several models in the literature that predict the Li depletion rate
as function of mass for low-mass stars and give consistent results. A search
was made for the Li I line in G 196-3, and an optical spectrum was obtained
with the Intermediate Dispersion Spectrograph. An upper limit on the equivalent
width of 0.005 nm was imposed, which gives a Li depletion factor larger
than 1,000 with respect to its original abundance. This constrains the
age of the star to be older than 20 My. All these considerations provide
a most likely age for G 196-3 that locates the star in the pre-main sequence
evolutionary phase and thus at a more luminous stage than expected for
its main-sequence lifetime. According to the age range derived, the most
probable distance from Earth to the system is 21±6 pc, the minimum
value corresponding to the case of the primary star already on the main
sequence and the maximum distance taking into account the youngest possible
age.
Assuming this distance interval,
the luminosity of the companion G 196-3B can be estimated from the measured
I and K magnitudes and the K bolometric correction as a function of the
colour (I through K). The values obtained are log L/Lo = 4.1 when the oldest
age (main sequence) is assumed and log L/Lo = 3.6 for the youngest age
(Lo, Sun luminosity). The comparison of the optical and infrared magnitudes
with the recent evolutionary tracks, which include dust condensation, allows
the astronomers to conclude that the mass of G 196-3B is 25–10+15 Jupiter
masses (MJup), where the upper and lower values result from
the age limits discussed above.
An independent confirmation of
the substellar nature of this faint companion was achieved with the detection
of the Li I resonance doublet at 670.8 nm. An intermediate-resolution optical
spectrum was obtained at the William Herschel Telescope using the ISIS
double-arm spectrograph. The equivalent width of the doublet is 0.5±0.1
nm that, using model atmospheres, gives an atmospheric abundance consistent
with no depletion at all of Li. The presence of Li, combined with the low
atmospheric temperature, rules out the possibility that the object is a
star. Any brown dwarf with a mass below 65 MJup should preserve
its initial Li content for its entire lifetime, and an object with such
a small mass as that of G 196-3B should necessarily show a high Li content.
Although in more massive substellar objects the presence of Li would help
to determine its evolutionary stage more precisely through the time dependence
of Li burning, for our object this detection provides a necessary check
of consistency.
 |
| Intermediate-resolution spectrum
obtained at the WHT telescope showing the Li detection at 670.8 nm in G
196-3B. [ TIFF ] |
The distance to the system implies
a physical separation between the two components of more than 250 AU, being
350 AU at 21 pc. It could be even larger if the system were younger and
therefore more distant from the Sun. This large distance and the high mass
ratio of 16:1 between the two components favor the fragmentation of a collapsing
cloud as the most plausible explanation for the formation of the system.
The possibility cannot be excluded, however, that the accretion of matter
in a protoplanetary disc may produce an object more massive than 15 MJup
at such large distances. Accretion discs extending up to several hundred
astronomical units are known to exist around several stars. Surveys similar
to that conducted here will provide a statistically significant number
of substellar-mass companions that can be used to test the proposed formation
mechanisms and may well promote the development of new ideas, as occurred
because of the recent findings of giant planets with highly eccentric orbits
around solar-type stars.
References:
-
R Rebolo et al, 1998, "Discovery
of a Low-Mass Brown Dwarf Companion of the Young Nearby Star G 196-3",
Science,
282,
1309.
A STRIPPED-DOWN
STELLAR CORE
WHT+ISIS
In most binary systems, the component
stars evolve essentially independently. But in others, the stars are so
closely interacting that regular stellar evolution is disrupted. AL Comae
Berenices, a 21st-magnitude object, consists of a 20,000 K white dwarf
and a ruddy, low-mass companion star. That companion has been steadily
losing material to an accretion disk around the white dwarf. The two stars
are closer to each other than Earth is to its Moon; they orbit one another
every 82 minutes.
What sets AL Comae apart from
other cataclysmic binaries is the amount of mass shed by the white dwarf's
companion. Although it seems to have started out as a type-G or K dwarf
with a mass approaching our Sun's, the astronomers place the companion's
present-day mass at a mere 0.04 to 0.09 solar masses (40 to 90 Jupiters).
This mass value is similar to those of brown dwarfs and of some massive
planets in other solar systems.
But AL Comae's lightweight constituent
is neither of these. Rather, it appears to be an exposed stellar core whose
interior was mixed up as it lost mass to its white-dwarf companion. This
notion is buttressed by the system's hydrogen-poor spectrum and by the
companion's inferred density: a thousand times smaller than a white dwarf's,
yet a hundred times larger than that of a regular main-sequence star.
References:
-
S B Howell et al, 1998, "Time-resolved
Spectroscopy of AL Comae", Astrophys J, 494, L223.
PALOMAR 1:
A YOUNG GALACTIC HALO GLOBULAR CLUSTER
INT+PFC, IDS
Globular clusters are well known
as the oldest conglomerations of stars in the Milky Way. Once thought all
to have formed at roughly the same time, a small number of these clusters
were recently found to have ages at least 3 Gyr younger that their siblings.
According to deep V and I CCD
images of the loosely populated galactic globular cluster Palomar 1 and
the surrounding field obtained with the Isaac Newton Telescope, an estimated
age at 6.3 to 8 Gyr was derived. That makes Palomar 1 just over half as
old as typical globulars and the youngest Galactic globular cluster identified
so far. Also surprising are its comparatively low luminosity and uncrowded
population of stars — unusual traits for a globular.
 |
| Central 4.3' × 4.3'
image of Palomar 1, taken with the I filter and an exposure time of 600
s. [
TIFF ] |
The astronomers discuss the possibility
that Palomar 1 is in fact a very old open cluster. But that would be an
even worse fit for its properties. Furthermore, Palomar 1's location in
the outer halo, about 55,000 light-years from the Galaxy's centre, would
be difficult to reconcile with an open-cluster classification. An alternate
explanation, which may also account for the other young globular clusters,
could be a different formation process. Most globulars are thought to have
coalesced at the same time as the Galaxy itself. The younger ones, on the
other hand, may have come in three other ways: as gas clouds that survived
in the halo after the Milky Way's formation, later to form stars; as captured
intergalactic star groups; or as cannibalised dwarf galaxies.
References:
-
A Rosenberg et al, 1998, "Palomar
1: Another Young Galactic Halo Globular Cluster?", Astron J, 115,
648.
-
A Rosenberg et al, 1998, "The Metallicity
of Palomar 1", Astron J, 115, 658.
THE SEARCH
FOR EXTRASOLAR PLANETS
Planetary Systems:
Their Formation and Properties
WHT, INT, JKT
The team EXPORT (EXoPlanetary
Observational Research Team) was awarded the 1998 International Time Programme
'Planetary Systems: their formation and properties'. The project focused
on formation and evolution of planetary systems, the search for spectral
signatures of extrasolar planet atmospheres, and planet searches.
Formation and evolution of
planetary systems. An enormous data set including high and intermediate
resolution spectroscopy, optical photopolarimetry and near-IR photometry
of Herbig AeBe, T Tauri, UXORs and Beta Pic-like stars at different stellar
evolutions stages was collected. The data were taken simultaneously, which
is crucial since many of the phenomena that have to do with preliminary
stages in planet formation are variable. Monitoring took place on time-scales
of one night (hours), consecutive nights (days), different runs (months).
The wide spectral coverage allowed the astronomers to study the behaviour
of many transitions of different species and to establish correlations
— if any — with broad-band photometry and polarimetry. A large number of
the spectra show interesting and puzzling events: evidence of infalling
solid bodies (possibly comets) by red-shifted Ca II and Na I components,
rotating (possibly stable condensed structures) by flips in H-alpha components,
and many other dynamical features. This data set seems to contain a key
for the understanding of disk structures that might ultimately lead to
planet formation.
Spectral signatures of extra-solar
planet atmospheres. After the detection of massive planets in close
orbits around their star the question of their nature is raised. Although
it seems that these planets are large gas giants, similar to Jupiter, large
solid planets cannot be ruled out. For these observations, the astronomers
adopted the hypothesis that the planets around the stars 51 Peg and tau
Boo are large gas giants. Due to interaction with the UV flux of the star,
stellar wind, or thermal escape, atoms and molecules of their atmosphere
may escape and fill a large volume around the planet. Such extended exosphere
could be detected by obtaining spectra of the stars during transit of their
planets through the Earth-star line. Spectra of 51 Peg and tau Boo were
obtained at the WHT using UES covering several atomic and ionic transitions
of potential constituents in a Jupiter-like planet. The stars were observed
on two consecutive nights: during transit of the planet and when the planet
was not in the line-of-sight. The analysis of the spectra includes a very
careful comparison of spectra taken on and off-transit.
Search for planets. More
than a dozen exo-planets haven been reported. These detections are based
on the radial velocity method. Two competitive observing strategies are
microlensing and planet transit searches in clusters. Both techniques can
be carried out with small 1-m class telescopes. The JKT was hence used
to obtain CCD images of two open clusters. The observing strategy consisted
in taking R band images of the same cluster position, each image corresponding
to a 10 min exposure. Several hundred images were obtained with roughly
1,000 stars within the field of view. This large amount of data provided
very accurate light curves of the cluster stars. Many images have already
been tested for transit events and several possible candidates have been
found.
Extrasolar Planetary
Transits
JKT+JAG CCD, INT+PFC
The TEP (Transits of Extrasolar
Planets) network has been observing photometrically the eclipsing binary
CM Dra since 1994. This is the first long-term observational application
of the transit method for the detection of extrasolar planets.
The transit method is based on
observing small drops in the brightness of a stellar system, resulting
from the transit of a planet across the disk of its central star. Such
transits would cause characteristic changes in the central star's brightness
and, to a lesser extend, colour. The depth of a transit is proportional
to the surface area of the planet, and the duration of a transit is indicative
of the planet's velocity. If the central star's mass is known, the distance
and period can be obtained with great precision.
Previous observational tests have
been prevented by the required photometric precision (which is about 1
part in 105 in the case of an Earth-sized planet transiting a sun-like
star), and by the generally low probability that a planetary plane is aligned
correctly to produce transits. An observationally appealing application
is available with close binary systems, where the probability is high that
the planetary orbital plane is coplanar with the binary orbital plane,
and thus in the line of sight. This makes the observational detection of
planetary transits feasible in systems with an inclination very close to
90º.
The CM Dra system is the eclipsing
binary system with the lowest mass known. The total surface area of the
system's components is about 12% of the Sun's, and the transits of a planet
with 3.2 RE (Earth radii), corresponding to 2.5% of the volume
of Jupiter, would cause a brightness drop of about 0.01 magnitudes, which
is within easy reach of current differential photometric techniques. The
low temperature of CM Dra also implies that planets in the thermal regime
of solar system terrestrial planets would circle the central binary with
orbital periods on the order of weeks. This allows for a high detection
probability of planetary transits by observational campaigns with coverages
lasting more than one planetary period. Planets with orbital periods of
10-30 days around CM Dra are especially interesting, since they would lie
within the habitable zone, which is the region around a star where planetary
surface temperatures can support liquid water, and therefore the development
of organic life. CM Dra is relatively close (17.6 pc) and has a near edge-on
inclination of 89.82º. With this inclination, coplanar planets within
a distance of CM Dra of 0.35 AU aproximately will cause a transit event.
This maximum distance corresponds to a circular orbit with a period of
about 125 days. There is also a low probability of observing orbits from
planets inclined out of CM Dra's binary orbital plane, if the ascending
or descending nodes of the planetary orbits are precessing across the line
of sight.
To obtain sufficient observational
coverage, the TEP network was formed with the participation of several
observatories in 1994. The final lightcurve contains 17,176 points acquired
over three years, and gives a complete phase coverage for CM Dra. Six suspicious
events, one of them detected by the JKT, were found by planets with sizes
between 1.5 and 2.5 RE. Such events are typified by being temporary
faintenings of CM Dra's brightness by a few milimagnitudes, with normal
durations of 45-90 minutes. However, none of these events has amplitudes
compatible with planets larger than 2.5 RE. Planets smaller
than 1.5 RE cannot be detected in the data without a sub-noise
detection algorithm. A preliminary signal detection analysis shows that
there is a 50% detection confidence for 2 RE planets with a
period from 10 to 30 days with the current data.
References:
-
H J Deeg et al, 1998, "Near-term
detectability of terrestrial extrasolar planets: TEP network observations
of CM Draconis", Astron Astrophys, 338, 479.
 |
| Planetary transit event candidate
as observed by the JKT. The lightcurve is plotted against the phase of
CM Dra. The data are shown as squares; the line indicates a smoothing fit
to the data. [ TIFF ] |
THE UNIVERSE
WILL EXPAND FOREVER
WHT+ISIS, INT+PFC
New studies of supernovae in the
farthest reaches of deep space indicate that the universe will expand forever
because there isn't enough mass in the universe for its gravity to slow
the expansion, which started with the Big Bang.
This result rests on analysis
of 42 of the roughly 78 type Ia supernovae so far discovered by the Supernova
Cosmology Project(1). By the time the light of the most distant supernova
explosions so far discovered by the team reached telescopes on Earth, some
seven billion years had passed since the stars exploded. After such a journey
the starlight is feeble, and its wavelength has been stretched by the expansion
of the universe, i.e. red-shifting its wavelength. By comparing the faint
light of distant supernovae to that of bright nearby supernovae, one could
tell how far the light had travelled. Distances combined with redshifts
of the supernovae give the rate of expansion of the universe over its history,
allowing a determination of how much the expansion rate is slowing. Although
not all type Ia supernova have the same brightness, their intrinsic brightness
can be determined by examining how quickly each supernova fades.
Since the most distant supernova
explosions appear so faint from Earth, last for such a short time, and
occur at unpredictable intervals, the Supernova Cosmology Project team
had to develop a tightly choreographed sequence of observations to be performed
at telescopes around the world, among them, the Isaac Newton and the William
Herschel telescopes. While some team members are surveying distant galaxies
using the largest telescopes in Chile and La Palma, others in Berkeley
are retrieving that data over the Internet and analysing it to find supernovae.
Once they detect a potential supernova they rush out to Hawaii to confirm
its supernova status and measure the redshifts using the Keck telescope.
Meanwhile, team members at telescopes outside Tucson and on La Palma are
standing by to measure the supernovae as they fade away. The Hubble Space
Telescope is called into action to study the most distant of the supernovae,
since they are too hard to accurately measure from the ground.
Reaching out to these most distant
supernovae teaches us about the cosmological constant. If the newly discovered
supernovae confirm the story told by the previous 42, astrophysicists may
have to invoke Einstein's cosmological constant to explain the observed
accelerated expansion of the universe. This cosmological constant has nowadays
an interpretation in terms of vacuum energy density which works against
gravity to produce the observed accelerated rate of expansion.
(1)The Supernova
Cosmology Project is a collaboration between the following institutions:
Lawrence Berkeley National Laboratory (USA), Institute of Astrophysics,
Cambridge and Royal Observatory of Edinburgh (UK), LPNHE, Paris and College
de France, Paris (France), University of Barcelona (Spain), and Isaac Newton
Group, La Palma (UK and The Netherlands), Stockholm University (Sweden),
ESO (Chile), Yale University (USA) and STscI (USA).
References:
-
S Perlmutter et al, 1997, "Measurements
of the Cosmological Parameters Omega and Lambda from the First Seven Supernovae
at z >= 0.35", Astrophys J, 483, 565.
-
S Perlmutter et al, 1998, "Discovery
of a supernova explosion at half the age of the universe", Nature,
391,
51.
-
S Perlmutter et al, 1999, "Measurements
of Omega and Lambda from 42 High-Redshift Supernovae", Astrophys J,
517,
565.
[
JPEG
| TIFF ] |
[ JPEG | TIFF ]
[ JPEG | TIFF
]
[ JPEG | TIFF ]
|
Top: The observing
strategy allows the team to find sets of high-redshift supernovae on the
rising part of their light curves and guarantees the date of discovery,
thus allowing follow-up photometry and spectroscopy of the transient supernovae
to be scheduled. The supernova light curves are then followed with scheduled
R-, I- and some B-band photometry at the INT and other telescopes.
Top left: INT image of a high-redshift
type Ia supernova thousands of millions of light years away. When a star
explodes as a type Ia supernova its brightness is similar to the host galaxy.
This latter feature along with the possibility of calibrating their maximum
brightness, make type Ia supernovae the best known standard candles to
investigate the geometry and the dynamics of our universe.
Middle left: Best-fit confidence
regions in the OmegaMass – OmegaLambda plane.
The 68%, 90%, 95%, and 99% statistical confidence regions are shown. Note
that the spatial curvature of the universe — open, flat, or closed — is
not determinative of the future of the universe's expansion, indicated
by the near-horizontal solid line. In cosmologies above this near-horizontal
line the universe will expand forever, while below this line the expansion
of the universe will eventually come to a halt and recollapse. The upper-left
shaded region, labelled 'no big bang', represents 'bouncing universe' cosmologies
with no big bang in the past. The lower right shaded region corresponds
to a universe that is younger than the oldest heavy elements for any value
of H0>=50 kms-1Mpc-1.
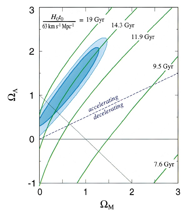
Bottom left: Isochrones of
constant H0t0, the age of the universe relative to
the Hubble time, H0-1, with the best-fit 68% and
90% confidence regions in the OmegaMass
– OmegaLambda
plane. The isochrones are labelled for the case of H0=63 kms-1Mpc-1.
If H0 were taken to be 10% larger, the age labels would be 10%
smaller. The diagonal line labelled accelerating/decelerating is drawn
for q0=OmegaMass/2 – OmegaLambda =0 and
divides the cosmological models with an accelerating or decelerating expansion
at present time. A value of OmegaLambda non-equal to zero is
favored from the data of all the observed supernovae.
Bottom: Hubble diagram (effective
B-magnitude at maximum versus redshift) containing 42 high-redshift supernovae
(red dots) that could be width-luminosity corrected, and 18 from the lower-redshift
Calán/Tololo Supernova Survey. Magnitudes have been K-corrected,
and also corrected for the width-luminosity relation. The inner error bar
corresponds to the photometry error alone, while the outer error bar includes
the intrinsic dispersion of type Ia supernovae after stretch correction.
The solid curves indicate theoretical model predictions based on different
cosmological parameters. |
[ JPEG | TIFF ] |